
The Paper of the Month for January is ‘Reevaluation of the protein requirement in Chinese elderly adults without sarcopenia with the indicator amino acid oxidation technique‘. The blog is written by authors Wenxuan Wu and Min Li. The paper is published in the British Journal of Nutrition, and is free to access for one month.
There is a Chinese proverb that says, "It's hard to buy old people being thin with money." We previously thought that for older people, thinness is a sign of health. However, scientific research shows that this view is incorrect. Multiple studies have shown that being too thin in older age can lead to decreased resistance to age-related diseases and an increased risk of death. A current and frequently discussed problem of protein nutrition in older adults is "sarcopenia," the age-related loss of skeletal muscle mass and consequent decline in muscle strength. This is due to lower rates of protein synthesis and catabolism in older adults compared with younger adults, and reduced muscle contribution to whole-body protein metabolism. While there are many potential mechanisms that contribute to lean body mass loss, inadequate protein intake is an important risk factor. The protein we consume every day provides amino acids that are the building blocks for muscle, bone, organs, hair and skin. Older adults may need more dietary protein than do younger adults, in part because of the decreased anabolic response to protein intake and the need for more protein to counteract the inflammatory and catabolic conditions associated with both chronic and acute diseases that occur during ageing. So, how much protein do older adults need to consume each day?
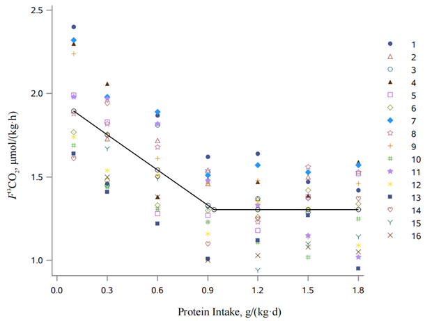
The indicative amino acid oxidation (IAAO) technique has been a commonly used method to study protein requirements in humans for nearly a decade. Therefore, in our previous study, we conducted a protein requirement study using the IAAO technique in 14 older people (aged 65–80 years) in 2020. The results showed that the estimated average requirement (EAR) and recommended nutrient intake (RNI) for protein were 0.91 and 1.17 g/(kg·d), respectively.
This new study reevaluated the protein needs of older people, excluding those with sarcopenia, using a wider range of protein intakes and a larger number of participants. In the current study, the protein requirements of 16 Chinese older people (9 males and 7 females aged 65-80 years) without sarcopenia were assessed using the IAAO technique. This showed that the EAR for protein for older Chinese people was 0.94 g/(kg·d) and that the RNI was 1.13-1.36 g/(kg·d) (FIGURE 1). These results are higher than the current recommendations of WHO.
Participants in this study were not older than 80 years and none was suffering from sarcopenia. The oldest old (≥ 80 years), in particular, are at significant risk of nutritional deficiencies, and of sarcopenia, as their social or economic status declines and their physiological functions decline. Therefore, our next step is to plan a relevant study in the oldest old.
In conclusion, the dietary protein needs of older people appear to be greater than current WHO recommendations. Further research on the protein needs of the oldest old and of those with sarcopenia is a priority.